محاسبات دارویی یکی از مهارتهای حیاتی و حساس در حیطه درمان است و هر پرستار موظف است آن را به صورت اصولی و پایهای فرا بگیرد. تسلط بر محاسبات دارویی نه تنها در تمامی بخشهای بیمارستان و مراکز درمانی ضروری است، بلکه در تمامی مراحل درمان و مراقبت از بیماران کاربرد دارد. یادگیری درست و دقیق محاسبات دارویی میتواند نقش مهمی در کاهش خطاهای پزشکی و افزایش ایمنی بیماران ایفا کند.

تبدیل واحدهای دارویی سی سی به قطره در سرم و میکروست
برای هر پرستار، آگاهی از تبدیل واحدهای دارویی یک ضرورت حیاتی است:
-
در داروهای عادی، هر ۱ سیسی (cc) برابر با ۱۵ قطره (gtt) است.
1cc = 15 gtt
-
در داروهای میکروست، هر ۱ سیسی (cc) برابر با ۶۰ قطره (gtt) است.
1cc= 60 gtt
دانستن این تبدیلها به پرستاران کمک میکند تا دوز داروها را دقیق محاسبه کرده و از بروز خطاهای پزشکی جلوگیری کنند.
یکی از مؤثرترین روشها برای یادگیری محاسبات دارویی، تمرین با مثالهای مختلف و واقعی است. با مشاهده و حل مثالهای مرتبط با دوز داروها و تبدیل واحدها، مفاهیم پایهای محاسبات دارویی به خوبی در ذهن تثبیت میشوند. در ادامه، با مثالهای کاربردی و مرتبط با این مبحث شروع میکنیم تا یادگیری عمیقتر و عملیتر شود.
انواع محاسبات دارویی در پرستاری
به طور کلی، ۷ نوع محاسبه دارویی وجود دارد که هر یک بر اساس نحوه تجویز داروها تعریف میشوند. آشنایی کامل با این انواع محاسبات به پرستاران کمک میکند تا داروها را با دقت، ایمنی و بر اساس دستور پزشک تجویز کنند و از بروز خطاهای دارویی جلوگیری شود. تسلط بر این محاسبات، یکی از مهارتهای اساسی و ضروری در حرفه پرستاری محسوب میشود.
1- میلی لیتر در ساعت ml/hr: مانند بسیاری از محلول ها شامل نرمال سالین/ دکستروز واتر/ رینگر/ آنتی بیوتیک ها
2- لیتر در ساعت l/hr: مانند بسیاری از محلول ها شامل نرمال سالین/ دکستروز واتر/ رینگر/ آنتی بیوتیک ها
3- میکروگرم در دقیقه ug/min: مانند نیتروگلیسیرین (TNG)/ آمیودارون/ لابتالول/ لیدوکائین
4- میلی گرم در دقیقه mg/min: مانند نیتروگلیسیرین (TNG)/ آمیودارون/ لابتالول/ لیدوکائین
5- میکروگرم به ازای هر کیلوگرم وزن بدن در دقیقه: مانندنیتروگلیسیرین/ نوراپینفرین/ دوبوتامین/ دوپامین
6- دارو های واحدی: مانند هپارین/انسولین/استرپتوکیناز
7- دارو های درصدی:
میلی لیتر در ساعت ml/hr و لیتر در ساعت l/hr
ml/hr و L/hr یکی از واحدهای رایج در محاسبات دارویی است که نشان میدهد چه مقدار مایع یا دارو باید در مدت یک ساعت به بیمار تزریق شود. برای دانستن بهتر این بخش به حل مثال های مختلفی میپردازیم.
مثال ۱
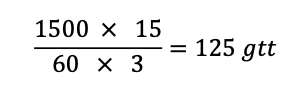
برای بیمار ۱۵۰۰ میلی لیتر سرم N/S تجویز شده است که بایستی در ۳ ساعت با ست عادی انفوزیون شود. تعدا قطرات در دقیقه یا همان gtt/min را محاسبه کنید.
در محاسبات دارویی، سیسی (cc) همان میلیلیتر (ml) است. بنابراین هر محاسبهای که بر اساس سیسی انجام میشود، دقیقاً با میلیلیتر برابر است و نیازی به تبدیل جداگانه نیست.
ابتدا باید بدانیم که ۱۵۰۰ میلیلیتر سرم قرار است در ۳ ساعت تزریق شود.
برای محاسبه میزان سرم در هر ساعت:

بنابراین، بیمار در هر ساعت ۵۰۰ میلیلیتر سرم دریافت میکند. از طرفی میدانیم که هر۱ ساعت ۶۰ دقیقه دارد و در هر ساعت بیمار باید ۵۰۰ میلیلیتر سرم دریافت کند.
برای محاسبه میزان سرم در هر دقیقه:
میلیلیتر در دقیقه 8.33 =60÷500
حالا کافی است بدانیم هر میلیلیتر چند قطره است. با توجه به اینکه ست عادی ۱۵ قطره در هر میلیلیتر دارد:
قطره در دقیقه 125 =15×8.33
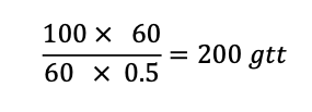
حالا کافی است بدانیم هر میلیلیتر چند قطره است. با توجه به اینکه میکروست 60 قطره در هر میلیلیتر دارد:
قطره در دقیقه 199 =60×3.33

مثال ۳
برای بیمار با تشخیص پونومونی دستور ۲ گرم سفتازیدیم در ۱۰۰ میلی لیتر میکروست سرم N/S به مدت 30 دقیقه تجویز شده است . مقدار قطرات در دقیقه را محاسبه کنید.
تمرکز فقط روی محاسبه تعداد قطرات در دقیقه است و مقدار دارو اهمیتی ندارد.

مثال ۴
برای بیمار با تشخیص کیست هیداتید دستور۱ میلی گرم ونکومایسین در۵۰۰ سی سی سرم N/S به مدت ۵ ساعت با ست عادی تجویز شده است . مقدار قطرات در دقیقه را محاسبه کنید.

میکروگرم در دقیقه ug/min و میلی گرم در دقیقه mg/min
µg/min و mg/min از واحدهای مهم در محاسبات دارویی هستند و نشان میدهند که چه مقدار دارو در هر دقیقه به بیمار تزریق میشود. این واحدها بیشتر برای داروهای قلبی–عروقی و وازواکتیو مانند نیتروگلیسیرین (TNG)/ آمیودارون/ لابتالول/ لیدوکائین که نیاز به دقت بالا دارند، استفاده میشوند. برای دانستن بهتر این بخش به حل مثال های مختلفی میپردازیم.
مثال ۱
برای بیمار سرم TNG با دوز ۵ میکروگرم در دقبقه تجویز شده است در صورتیکه یک امپول TNG پنج میلی گرم باشد. در ۱۰۰ میلی لیتر سرم دکستروز واتر ۵ درصد رقیق شود. تعداد قطرات در دقیقه یا همان gtt/min را محاسبه کنید.
گام اول: در حل این سوال ها دنبال کوچکترین واحد باشید که در این مثال میشود: میکروگرم.
گام دوم: تبدیل بقیه واحد ها مانند تبدیل واحد امپول TNG پنج میلی گرم به میکروگرم
میکروگرم 5000 = 1000× 5mg

-
در داروهای میکروست، هر ۱ سیسی (cc) برابر با ۶۰ قطره (gtt) است.
1cc= 60 gtt
که ما اینجا ۰/۱ سی سی داریم:


میکروگرم به ازای هر کیلوگرم وزن بدن در دقیقه
µg/kg/min یکی از دقیقترین و مهمترین واحدهای محاسبات دارویی است و نشان میدهد که به ازای هر کیلوگرم از وزن بدن بیمار، چه مقدار دارو در هر دقیقه باید تزریق شود. این واحد بیشتر برای داروهای حساس قلبی–عروقی و وازواکتیو مانند نیتروگلیسیرین/ نوراپینفرین/ دوبوتامین/ دوپامین استفاده میشود. در این نوع، تنظیم دوز دارو بر اساس وزن بیمار بسیار مهم است.
مثال ۱
برای بیماری که دارای ۷۰ کیلوگرم وزن میباشد، داروی دوپامین به میزان µg/kg/mi) 10) تجویز شده است. اگر هر آمپول دوپامین ۲۰۰ میلی گرم باشد و در ۱۰۰ سی سی سرم دکستروز پاتر ۵ درصد رقیق شده باشد. چند قطره در دقیقه به بیمار انفوزیون میگردد؟
گام اول: در حل این سوال ها دنبال کوچکترین واحد باشید که در این مثال میشود: میکروگرم.
گام دوم: تبدیل بقیه واحد ها مانند تبدیل میلی گرم به میکروگرم. از طرفی دوز هر امپول دوپامین ۲۰۰ mg
میکروگرم 200000= 1000×200
پس در هر امپول کامل دوپامین، 200000 میکروگرم دارو میباشد.
گام سوم: دوز دستوری 10 میکروگرم به ازای هر کیلو وزن میباشد.
میکروگرم 700 =10×70
گام چهارم: میدانیم که هر امپول کامل دوپامین، 200000 میکروگرم دارو میباشد که ما باید فقط 700 میکروگرم را به بیمار انفوزیون کنیم.

در 0/35 سی سی ما 700 میکروگرم دارو داریم که یعنی دوز دستور داده شده که باید در ۱ دقیقه انفوزیون کنیم. پس، 0/35 سی سی را تبدیل به قطره میکنیم. (از فاکتور میکروست استفاده میکنیم).
-
در داروهای میکروست، هر ۱ سیسی (cc) برابر با ۶۰ قطره (gtt) است.
1cc= 60 gtt
قطره 21=60×0/35
روش دوم:
پاسخ: ۲۱ قطره

دارو های واحدی
داروهای واحدی به داروهایی گفته میشود که دوز آنها بر اساس «واحد (Unit)» بیان میشود، نه میلیگرم یا میکروگرم. این داروها معمولاً قدرت بالایی دارند و نیازمند دقت بسیار زیاد در محاسبات دارویی هستند.مانند: هپارین/انسولین/استرپتوکیناز.
مثال ۱
برای بیماری داروی هپارین با دوزu/h ۱۰۰۰ دستور داده شده است. اگه ۱۰۰۰۰ واحد هپارین را در ۱۰۰ سی سی سرم رقیق کنیم. تعداد قطرات در میکروست در یک دقیقه محاسبه کنید.گام اول: در حل این سوال ها دنبال کوچکترین واحد باشید که در این مثال میشود: u/h .
گام دوم: طبق دستور بیمار باید هر ۱ساعت ۱۰۰۰واحد دریافت کند و میدانیم هر یکساعت ۶۰ دقیقه است.

یعنی ما ۱۰۰ سی سی میکروست، ۱۰۰۰۰واحد هپارین داریم که از این ۱۰۰۰۰ واحد، فقط ۱۶/۶۶ را برای یک دقیقه انفوزیون لازم داریم.
گام سوم: در این مرحله باید بدانیم در چند سی سی فقط ۱۶/۶۶ واحد هپارین میباشد.

پاسخ: ۰/۱۶
گام چهارم: تبدیل به قطره
-
در داروهای میکروست، هر ۱ سیسی (cc) برابر با ۶۰ قطره (gtt) است.
1cc= 60 gtt
قطره ۱۰= ۶۰ × ۰/۱۶
روش دوم:
کل دوز : ۱۰۰۰۰


دارو های درصدی
داروهایی که غلظتشان به صورت درصدی مشخص میشود، یعنی هر ۱۰۰ میلیلیتر از محلول حاوی چند گرم ماده فعال است. برای حل این نوع، کافیست که درصد را حذف کنید و فقط یک صفر اضافه کنید که میشود; مقدار میلی گرم آن دارو در ۱ سی سی.
مثال ۱
برای بیماری مبتلا به تاکیکاردی بطنی ۶۰ میلی گرم لیدوکائین به صورت داخل وریدی تجویز شده است . در صورتیکه لیدوکائین ۲ درصد در دسترس باشد، چند میلی لیتر لیدوکائین باید تزریق شود ؟
گام اول: درصد را حذف کنید و یک صفر اضافه کنید که میشود; ۲۰ میلی گرم آن دارو در ۱ سی سی.
گام دوم: از انجاییکه در صورت سوال گفته شده است ۶۰ میلی گرم تجویز شده است، یعنی در هر سی سی ۲۰ میلی گرم داریم پس ۳ سی سی باید تزریق شود.









Leave a Reply